Военный дом отдыха в севастополе для военных пенсионеров
Адрес и Контакты
299002, Россия,
г. Севастополь,
ул. Симонок, 68
Цены для Военных
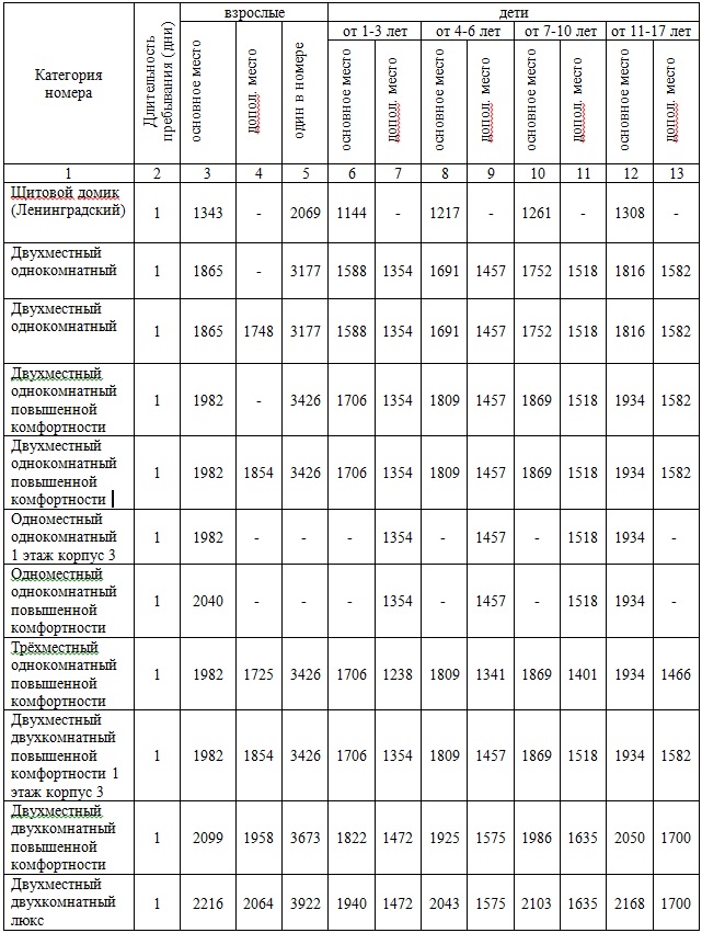
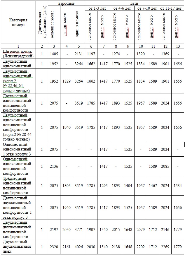
Стоимость санаторно-курортной путевки на 12 день 2020 год
Категория номера
Цена для военнослужащих и членов семей военнослужащих МО РФ
Цена для пенсионеров МО РФ
Цена для членов семей пенсионеров МО РФ
Цена для гражданского персонала МО РФ
Одноместный однокомнатный
Двухместный однокомнатный ПК
Двухместный двухкомнатный Люкс
Двухместный четырехкомнатный Апартамент
Коммерческие цены
Базовая коммерческая стоимость путевки на БО "Севастополь" 2019



Спорт, инфраструктура
Лечебные процедуры
- Мониторинг состояния здоровья отдыхающих
- Консультации терапевта
- Неотложная помощь
- Массаж
Бронировать
Забронировать путёвку онлайн (2463 заявок)
ФГБУ «Севастополь» расположено в северной части города, на берегу Севастопольской бухты. База отдыха находится в ведомстве Министерства обороны РФ, поэтому основной контингент отдыхающих – военнослужащие, гражданские сотрудники предприятий МО, а также члены семей льготных категорий. Здравница работает круглогодично: в высокий сезон она принимает до 450 отдыхающих, в осенне-зимний период гостиничный фонд составляет 21 номер (42 места).
Важно! Реализация льготных путевок в ФГБУ «Севастополь» осуществляется ТОЛЬКО через официальные сайты базы отдыха или Министерства обороны РФ (раздел «Социальное развитие», подраздел «Санаторно-курортные организации»). Наличие свободных мест всех пансионатов мо рф проверяем тут.
Территория базы отдыха – это 8 га благоустроенной парковой зоны с фонтанами, дорожками для терренкура, рекреациями с беседками и цветниками. Благодаря географическим и геологическим особенностям, Севастопольская бухта – самое теплое и солнечное место на побережье. Даже зимой дневная температура не опускается ниже +5, а море никогда не замерзает. Такой климат способствует реабилитации организма при хронических заболеваниях органов дыхания, нервной и сердечно-сосудистой системы, а также позволяет восстановить силы после длительных физических и психологических нагрузок. Полноценной медицинской инфраструктуры на базе отдыха нет, однако в медицинском пункте можно получить неотложную помощь, консультации терапевта, измерять артериальное давление. Также за отдельную плату предлагаются сеансы лечебного и профилактического массажа (классического, сегментарно-рефлекторного, восстановительного).
Для размещения гостей БО «Севастополь» предназначены 3 спальных корпуса. Гостиничный фонд включает 2-местные номера категории Стандарт, Повышенной комфортности и Люкс. В номерах все удобства, круглосуточное холодное и горячее водоснабжение, кондиционеры, телевизоры, холодильники. Косметический ремонт производится ежегодно. Отдыхающим предоставляется 4-разовое питание по комплексному меню.
Важно! Дети принимаются в сопровождении взрослых с любого возраста, до 1 года – БЕСПЛАТНО. Дети от 1-го года до 17 лет размещаются на основное или дополнительное место. Оплата производится в соответствии с категорией льготы родителей.
В 600 м от корпусов находится ведомственный мелкогалечный пляж. Инфраструктура базы позволяет организовать интересный досуг гостей. На территории работает летнее кафе, бильярдная, киноконцертный зал, сауна с бассейном, компьютерный класс. В пункте проката предоставляется экипировка для подводного плавания, занятия спортом, инвентарь для пляжного отдыха. Для организации делового туризма имеются 4 конференц-зала с акустическим и мультимедийным оборудованием. Для онлайн семинаров оборудовано 100 клиентских мест. База отдыха имеет собственный автопарк для экскурсионного обслуживания по 18 маршрутам.
В БО «Севастополь» входит филиал «Батилиман», расположенный в Балаклавском районе, в зоне ЮБК. Среди реликтового можжевелового леса построены летние домики со всеми удобствами и мини-кухней. Мелкогалечный пляж находится в 200 м. Имеется возможность на базе филиала проводить 2-3-дневные корпоративные мероприятия с количеством участников до 40 человек. БО«Батилиман» принимает гостей с 15 мая по 15 октября.

Для военнослужащих Министерства обороны в Крыму построена военная база отдыха Севастополь, официальный сайт которой подскажет, когда лучше приезжать сюда или бронировать путевки. Здесь можно отдыхать в любое время года, разница только в количестве принимающих гостей. В зимнее время на базе могут одновременно проживать сорок два человека, проживающих в двадцати одном номере. В летнее время база отдыха Севастополь МО РФ работает на полную мощность. Отдыхающие размещаются в нескольких корпусах с двухместными номерами. Количество приезжих может достигать четырех пятидесяти человек.
Здесь можете узнать полезную информацию про жилье в Крыму.
База отдыха Севастополь МО РФ, отзывы 2019—2020 отдыхающих об инфраструктуре
Корпуса обеспечены всем необходимым, в том числе и бойлерами для подачи горячей воды. При поселении отдыхающие получают полный пансион и возможность посещать различные процедуры. Также в корпусах работают сауна, зал для проведения банкетов, парикмахерская, зал для торжеств. База отдыха МО Севастополь очень уютная, где каждая комната оборудована душевыми кабинками и подключена к беспроводному Интернету. В распоряжении базы отдыха находится галечный пляж, до которого от корпусов всего триста метров.
Для тех, кто приезжает на базу на своем транспорте, оборудована довольно большая автостоянка. Кроме того, тут работает экскурсионное бюро, предлагающее поездки в различные регионы полуострова.
ФГБУ база отдыха «Севастополь» Минобороны России: здесь есть все и для работы
На базу приезжают военнослужащие и представители обороны, чтобы провести различные мероприятия. Чаще всего тут проходят конференции, симпозиумы, семинары. Они проходят в конференц-залах – большом (двести посадочных мест) и малом (девяносто человек). Залы оборудованы звуковой и видеотехникой, серверами высокоскоростного Интернета. Это позволяет также проводить онлайн-конференции, поэтому ФГБУ, база отдыха Севастополь МО РФ позволяет одновременно и работать, и оздоровиться.
С целью обучения участников семинаров, был создан специальный класс на сорок посадочных мест.
База отдыха МО РФ Севастополь, официальный сайт: развлечение и отдых
Сотрудники базы отдыха имеют возможность проводить время в сауне, библиотеке, тренажерном зале, киноклубе, игровых комнатах. База отдыха Севастополь Министерства обороны Российской Федерации часто становится местом проведения концертов, которые проводятся в большом киноконцертном зале. В нем одновременно может поместиться триста двадцать пять человек. Уличный досуг обычно проводится в кафе или бильярдной.
Каждый отдыхающий проходит комплекс оздоровительных процедур в массажном и лечебном кабинете, сауне.
Питание проходит в столовой, в состав которой входит четыре зала. База отдыха в Севастополе Министерства обороны РФ – вкусное питание. Меню для посетителей разрабатывается врачами при консультации с диетологами, поэтому еда полна витаминами.
Популярное жилье
Частный сектор Малиновая 33 в Учкуевке (Севастополь)
Цена от: 1500 руб Узнать больше
Отдых в Крыму 2020
Коттедж «Дельфин» в Николаевке
Цена от: 2450 руб Узнать больше
База отдыха «Каламита Крым» в Прибрежном (Саки)
Цена от: 3500 руб Узнать больше
Добавить комментарий Отменить ответ
Жилье по городам
- Всё жильё
- Алупка
- Алушта
- Бахчисарай
- Евпатория
- Керчь
- Песчаное
- Саки
- Севастополь
- Симферополь
- Судак
- Феодосия
- Черноморское
- Щелкино
- Ялта
- Азовское море
- Трансфер
- + Добавить объявление
Лучшие предложения
Гостевой дом «Русь» в Песчаном (Бахчисарай)
Цена от: 1200 руб Узнать больше
Гостевой комплекс "Магия" в Новофедоровке (Саки)
Цена от: 900 руб Узнать больше
Гостевой дом «Николас» в Николаевке
Цена от: 600 руб Узнать больше
Частный сектор "Фонтан" в Коктебеле (Феодосия)
Цена от: 1500 руб Узнать больше
Шикарный гостевой дом «Белые Паруса» в Судаке
Гостевой дом "Русалка" в Мисхоре (Ялта)
Гостевой комплекс «Морская феерия» в Севастополе
Коттеджи «Кристи» у залива Донузлав (п. Мирный, Евпатория)
Цена от: 1800 руб Узнать больше
Отель-Кафе «Крым» в Коктебеле
Цена от: 1500 руб Узнать больше
Гостевой дом «Эримар» в Песчаном (Бахчисарай)
Цена от: 1300 руб Узнать больше
Гостевой дом «Артур» в Песчаном (Бахчисарай)
Цена от: 1800 руб Узнать больше
Частный сектор «Жемчужина» в Николаевке
Цена от: 250 руб Узнать больше
Расположение: Центральная военная турбаза «Севастополь» - туристический комплекс находится в черте города в живописном месте на Северной стороне Севастополя с видом на Севастопольскую бухту, на благоустроенной территории площадью более 8 га с зелеными насаждениями, фонтанами, тенистыми беседками, аллейками и множеством цветов.
Пляж: ведомственный галечный пляж, удаленностью 300 м. от корпусов турбазы, на берегу открытого моря.
Размещение: отдыхающие турбазы размещаются в капитальных зданиях в 2-х, 3-х местных номерах со всеми удобствами. Детские и студенческие группы могут располагаться в корпусе №4 и домиках коттеджного типа.
- Люкс (центральный корпус №3) – двухкомнатный номер общей площадью 36м2: ванная, холодная и горячая вода постоянно, два кондиционера, телевизор, холодильник, в гостиной раскладывающийся мягкий уголок, балкон.
- Двухместный двухкомнатный повышенной комфортности (центральный корпус №3) – просторный номер с выделенной зонально в виде алькова спальней общей площадью 26м2: кондиционер, телевизор, холодильник, холодная и горячая вода постоянно, в гостиной раскладывающийся мягкий уголок, балкон.
- Двух-трехместный однокомнатный повышенной комфортности(центральный корпус №3) – однокомнатный номер общей площадью 15м2: холодная и горячая вода постоянно, телевизор, холодильник, кондиционер, 2-х спальная или две односпальные кровати, евроремонт, балкон
- Стандартныйномер(центральный корпус №3, корпус № 2) – однокомнатный номер общей площадью 15-18 м2: холодная и горячая вода постоянно, телевизор, холодильник, 2-х спальная или две односпальные кровати, балкон/лоджия.
- Трехместный номер (корпус №2) – однокомнатный номер со всеми удобствами общей площадью 22м2: холодная и горячая вода постоянно, холодильник, три односпальные кровати, лоджия.
- Двухместный номер (Ленинградский домик) – номер в домике коттеджного типа: две односпальные кровати, санузел с холодной и горячей водой на блок из пяти комнат.
- Студенческий номер(корпус №4) – двух- и одноярусное размещение с общими удобствами, в холле телевизор и холодильник.
Корпус №1 (2 этажа):
- 2-х местный стандарт с удобствами (душ, туалет, умывальник). В номере: двуспальная или раздельные кровати, шкаф, тумбочки, стулья, бойлер, телевизор, холодильник, балкон. Евроремонт.
- 2-х местный улучшенный с удобствами (душ, туалет, умывальник). В номере: двуспальная или раздельные кровати, шкаф, тумбочки, стулья, бойлер, телевизор, холодильник, кондиционер, балкон. Евроремонт.
- 2-х местный номер люкс с удобствами (душ, туалет, умывальник). В номере: двуспальная и раздельные кровати, шкаф, тумбочки, стулья, мягкий уголок, журнальный столик, бойлер, телевизор, холодильник, кондиционер, балкон.
Водоснабжение: холодная и горячая вода круглосуточно.
Питание: 3-х разовое, в стационарной столовой турбазы «Севастополь», состоящей из 4-х обеденных залов с общим числом 450 посадочных мест. Имеются все условия для проведения банкетов, юбилеев, свадеб, фуршетов, презентаций и других мероприятий
Инфраструктура: на базе отдыха созданы все условия для проведения конференций, симпозиумов, семинаров и других мероприятий с использованием современной звуковой и видео техники, обустроены и оборудованы 5 залов:
- Киноконцертный зал вместимостью до 325 посадочных мест;
- Конференц-зал вместимостью до 200 посадочных мест;
- Конференц-зал вместимостью до 90 посадочных мест;
- Киноклуб вместимостью до 50 посадочных мест;
- Туристический класс до 45 посадочных мест.
Имеется уютное кафе-бильярдная, летнее кафе, буфет, бильярд, настольный теннис, танцевальный зал, интернет клуб и игральные автоматы, сауна, медицинский пункт, библиотека с читальным залом, кабинет оздоровительного массажа, душевая, маникюрный кабинет и парикмахерская, пункт обмена валют, проката спортивного инвентаря и имущества, охраняемая автостоянка, экскурсионное бюро.
У рочище Батилиман расположилось в реликтовой можжевелловой зоне с северо-западной стороны Ласпинской бухты ближе к мысу Айя. Защищенное стенами гор с вершинами Кокия-Кала и Куш-Кая, оно является самым теплым местом на ЮБК.
Филиал турбазы располагает всей необходимой инфраструктурой для полноценного и комфортабельного отдыха. Для проживания предоставлены летние домики на 4 человека (без питания). Имеется холодная, горячая вода, душ на территории, холодильник и плиты для самостоятельного приготовления пищи. Пляж мелкогалечный на расстоянии 300м.
Уважаемые посетители сайта, к сожалению, анкета он-лайн бронирования временно не работает по техническим причинам.
Для направления заявки в санаторий "Судак" всегда работает электронная почта skk_krym_2@mil.ru
Наличие мест по состоянию на 24 ноября 2020 года
в период заезда январь-декабрь 2021 в санаториях СКК «Крымский»

Также администрация санатория ставит в известность граждан о том, что все поступившие в адрес санатория "Судак" заявления будут рассмотрены в обязательном порядке.
Заранее приносим свои извинения!
В связи с глобальным распространением новой коронавирусной инфекции (COVID-2019) на территории Российской Федерации Министром обороны Российской Федерации
При поступлении в санаторно-курортную организацию отдыхающие, кроме требуемого пакета документов, должны предоставить:
справки (заключения) врача-эпидемиолога или врача-педиатра/врача- терапевта/врача общей практики (семейного врача) об отсутствии контакта с больными инфекционными заболеваниями в течение предшествующих 14 календарных дней, выданной не позднее, чем за 3 дня до отъезда.
Информация о новой коронавирусной инфекции COVID-19
Актуальная информация о коронавирусе размещена на сайте
СТОПКОРОНАВИРУС.РФ : https://стопкоронавирус.рф/
C актуальной информацией по мерам борьбы с новой коронавирусной инфекцией
Вы сможете ознакомиться на сайте Правительства Российской Федерации: https://government.ru/
Портал независимой оценки качества условий оказания услуг медицинскими организациями: http://anketa.rosminzdrav.ru/staticogvjustank/86/1
22 декабря 2018 г. вступил в силу приказ Министра обороны Российской Федерации от 15 ноября 2018 г. № 654 «О внесении изменений в Порядок санаторно-курортного обеспечения в Вооруженных Силах Российской Федерации, утвержденный приказом Министра обороны Российской Федерации от 15 марта 2011 г. № 333 «О порядке санаторно-курортного обеспечения в Вооруженных Силах Российской Федерации».
С полным перечнем внесенных изменений можно ознакомиться на официальном интернет-портале правовой информации: http://publication.pravo.gov.ru/Document/View/0001201812130001 .
В соответствии с распоряжением Главного военно-медицинского управления Минобороны России с 1 но ября 2019 года с 00.00 ч . мск началась реализация путевок в санаторий "Судак" Минобороны России на период заездов с 1 января 2020 года по 31 декабря 2020 года.
Уважаемые посетители сайта, к сожалению, анкета он-лайн бронирования временно не работала с 1 ноября по техническим причинам.
Для направления заявки в санаторий "Судак" всегда работает
Также администрация санатория ставит в известность граждан о том, что все поступившие в адрес санатория "Судак" заявления будут рассмотрены в обязательном порядке.
Заранее приносим свои извинения!
ОБРАЩАЕМ ОСОБОЕ ВНИМАНИЕ, адрес электронной почты skk_krym_2@mil.ru , предназначен только для подачи и приема документов (заявлений и справок 070/у) на санаторно-курортное лечение в САНАТОРИЙ "СУДАК"
ФГКУ "Санаторно-курортный комплекс "Крымский" Минобороны России не занимается распределением санаторно-курортных путевок в иные санаторно-курортные организации Министерства обороны Российской Федерации


Телефоны единой справочной службы:
- Единая справочная 8 (495) 132-30-03 (многоканальный)
Время работы Единой справочной:
- 9.00-15.30- пятница, предпраздничные дни
Телефон «горячей линии» в Национальном центре управления обороной
Российской Федерации:
Центральная военная туристическая база отдыха «Севастополь» уютно обосновалась в городе-герое Севастополь на, так называемой, Северной стороне, в районе «Радиогорка». Благоустроенную озелененную территорию с фонтанами, беседками и тенистыми аллеями, площадью 8 гектаров и расположенную в 300 метрах от Черного моря, с городом связывает автобусное сообщение, а от пристани к Севастопольской набережной курсирует катер.
Для размещения на центральной военной туристической базе выстроено несколько каменных корпусов и деревянных коттеджей. В шестиэтажном корпусе 3 и двухэтажном корпусе 2 одновременно могут расположиться на постой 400 человек. Обычно здесь селятся взрослые отдыхающие или семьи с маленькими детьми. Если на отдых в пансионат «Севастополь» приезжает большая группа детей или студентов, то таких гостей расселяют в корпусе 4 и в коттеджах.
Корпус 1 базы отдыха «Севастополь» считается административным, но в нем обустроено несколько двухкомнатных двухместных номеров категории «люкс». Они хорошо отремонтированы, ванная комната оснащена качественной сантехникой, в спальне и гостиной установлена хорошая мебель, есть холодильник, телевизор и кондиционер. В корпусе 2 базы отдыха «Севастополь» устроены двух – трехместные номера «с удобствами». Главным их «достоянием» является наличие холодильника. В корпусе 3 устроены двухместные номера категории «улучшенный». В них к холодильнику добавляется телевизор. Рядом находятся двухместные номера «повышенного комфорта», где помимо холодильника и телевизора есть кондиционер. А еще в этом корпусе есть оригинальные полуторокомнатные двухместные спальные номера категории «полу-люкс», оборудованные аналогично соседним номерам «повышенного комфорта». Все номера базы отдыха «Севастополь» имеют собственный санитарный узел, оборудованный туалетом и умывальником, а вид душевой кабины зависит от категории комфорта. Обитателям корпуса 4 и коттеджей придется довольствоваться удобствами на территории.
Инфраструктура базы отдыха «Севастополь»
Центральная военная туристическая база «Севастополь» имеет все необходимое для полноценного досуга всех отдыхающих без исключения. Для детей на территории базы отдыха «Севастополь» сделаны игровые площадки, а в корпусе – детская комната. Для подростков работает Интернет-клуб и дискотека. Для женщин – парикмахерская, маникюрный кабинет и специалист по оздоровительному массажу. Любители спокойного отдыха непременно воспользуются читальным залом библиотеки или отправятся читать книгу на неприметную парковую скамейку. Сильных мужчин порадует возможность сразиться в настольный теннис и бильярд или на игровых автоматах, после чего они, обычно направляются в сауну или баню, а чистые и бодрые собираются в летнем или закрытом кафе, где за бокалом прохладительного напитка обсуждают последние мировые новости.
Для больших групп людей на базе отдыха «Севастополь» есть свои помещения. Для показа кинофильма или проведения концерта предусмотрен зал для 325 зрителей. В большом конференц-зале на 200 мест располагаются люди, приехавшие в Севастополь на симпозиум или конференцию. В конференц-зале на 90 посадочных мест свободно размещаются различные корпоративные собрания. Для любителей кино есть свой кино-клуб на 50 мест. Обсуждение грядущего туристического похода и тренировки гости базы отдыха совершают в туристическом классе на 45 мест. По вечерам открываются двери танцевального зала. Исправно на базе отдыха «Севастополь» функционирует экскурсионное бюро, в котором любознательные отдыхающие могут заказать путешествие к любым достопримечательностям Крымского полуострова.
Собственная столовая на базе рассчитана на одновременное кормление 450 проголодавшихся отдыхающих, но только тех, кто успел оплатить трехразовое комплексное питание, поскольку в стоимость путевки кормление не входит. В столовой четыре зала, один из которых выделен для гостей здравницы, поселившихся в номерах категории «люкс» и «полу-люкс».
Пляж базы отдыха «Севастополь»
Центральная военная туристическая база «Севастополь» имеет в распоряжении собственный галечный пляж. Он оборудован навесами. Напрокат можно взять шлюпку и катамаран. Есть свои водные развлечения для взрослых и детей. У воды есть бар с напитками, а по ночам на берегу шумит дискотека.

База отдыха «Севастополь» База отдыха «Севастополь»
База отдыха «Севастополь» База отдыха «Севастополь»
База отдыха «Севастополь» База отдыха «Севастополь»
База отдыха «Севастополь» База отдыха «Севастополь»
База отдыха «Севастополь» База отдыха «Севастополь»
База отдыха «Севастополь» База отдыха «Севастополь»
База отдыха «Севастополь» База отдыха «Севастополь»
База отдыха «Севастополь» База отдыха «Севастополь»

Морской воздух, насыщенный фитонцидами, горный ландшафт, теплые юго-восточные ветры создают благоприятный микроклимат, который в сочетании с применением современной медицинской аппаратуры поможет в лечении заболеваний сердечно-сосудистой системы, органов дыхания, периферической нервной системы, опорно-двигательного аппарата.Санаторий расположен у подножия Медведь-горы (Аю-Даг) в живописной Партенитской долине, утопающей в зелени кипарисов, кедров, магнолий, пальм и других вечнозеленых растений. Заповедный лес Аю-Дага переходит в роскошный парк санатория общей площадью около 40 гектаров.
В межсезонье Вы можете воспользоваться лечебным плавательным бассейном с морской водой. Тренажерные залы, игровые площадки, теннисные корты, залы лечебной физкультуры украсят Ваш отдых.К Вашим услугам оборудованный всем необходимым лечебный галечный пляж, протяженностью около 1 км.
Яркое впечатление останется от посещения цветомузыкального фонтана, приятно провести время помогут два киноконцертных зала, библиотека с широким выбором литературы.Вы получите большое удовольствие и мощный эмоциональный заряд, посетив наш дельфинарий, в котором можете поплавать с дельфинами и сфотографироваться.
ФГБУ «Военный санаторий «Крым» Минобороны России - специализированная здравница предназначена для лечения, медицинской реабилитации, медико-психологической реабилитации и отдыха военнослужащих РФ, пенсионеров МО РФ, членов их семей, инвалидов и участников боевых действий, чернобыльцев, а также граждан по договорным путевкам.
ФГБУ «Военный санаторий «Крым» Минобороны России предоставляет возможность пройти обследование и лечение при заболеваниях:
- органов кровообращения (гипертоническая болезнь, ишемическая болезнь сердца, ревматизм, нейроциркуляторная дистония, заболевания сосудов нижних конечностей);
- органов дыхания нетуберкулезного характера (хронические бронхиты, бронхиальная астма, бронхоэктатическая болезнь, пневмосклероз, эмфизема, тонзиллиты, риниты, синуситы);
- нервной системы ( центральной и периферической: невриты, невралгии, люмбаго, дискогенные радикулиты, цервикалгии, последствия травм);
- опорно-двигательного аппарата и соединительной ткани(костно-мышечной системы) (деформирующий остеоартроз, остеохондроз, спондилез, полиартриты, последствия артритов);
ЛЕЧЕНИЕ В САНАТОРИИ ПРОВОДИТСЯ ПО ОСНОВНОМУ ЗАБОЛЕВАНИЮ В СТРОГОМ СООТВЕТСТВИИ С ДИАГНОЗОМ УКАЗАННОМ В ФОРМЕ № 072/У МИНЗДРАВСОЦРАЗВИТИЯ, СОГЛАСНО УТВЕРЖДЕННЫМ СТАНДАРТАМ
ФГБУ «Военный санаторий «Крым» Минобороны России предоставляет возможность произвести исследования:
- лабораторные (клинические, биохимические, внутриклеточная инфекция);
- функциональные (ЭКГ, реологические исследования, велоэргометрия, спирография);
- ультразвуковые (органов брюшной полости, почки, предстательная и щитовидная железы);
- рентгенологические (органов грудной клетки и костей).
ФГБУ «Военный санаторий «Крым» Минобороны России предоставляет возможность получить услуги:
- Проводится консультативный прием: травматологом-ортопедом, гинекологом, гастроэнтерологом, отоларингологом, неврологом, дерматологом, педиатром, диетологом, кардиологом, иглорефлексотерапевтом, урологом, психотерапевтом, пульмонологом, окулистом.
- Имеется отделение лечебной физкультуры с тренажерами, спортивными площадками для волейбола, тенниса, бадминтона, плавательный бассейн с морской водой.
К Вашим услугам все виды физиотерапевтического лечения, в том числе электролечение, светолечение, теплолечение, грязелечение с использованием известной Сакской грязи, все виды водолечения, соляная пещера, дозированные газовые (С02) инъекции, озонотерапия, диетическое трех разовое заказное питание.Пациенты могут получить квалифицированную консультацию невролога, отоларинголога, педиатра, гастроэнтеролога, уролога, дерматолога, пульмолога, окулиста, стоматолога, гинеколога, травматолога-ортопеда, иглорефлексотерапевта, мануального терапевта, диетолога.Значительно повышают уровень диагностики функциональные исследования, включающие электрокардиографию, доплерографию, спирографию, реографические исследования, ультразвуковые исследования (УЗИ), рентгенологические исследования.Современный уровень диагностической базы позволяет проводить необходимые клинические, биохимические исследования.
Неотложная медицинская помощь оказывается дежурным медицинским персоналом приемного отделения круглосуточно, а при необходимости вызываются другие специалисты. Работа отделения осуществляется согласно порядкам и стандартам оказания неотложной медицинской помощи. Для оказания неотложной помощи в приемном отделении оборудована палата, где имеются наборы лекарственных препаратов, инструкции по оказанию неотложной помощи при острых заболеваниях, травмах и отравлениях. На случай оказания неотложной помощи на территории санатория или за его пределами в приемном отделении укомплектована врачебная укладка.
- Перечень жизненно необходимых и важнейших лекарственных препаратов для применения по оказании неотложной помощи имеется в палате интенсивной терапии приемного отделения.
- Перечня медицинских препаратов, предназначенных для обеспечения лиц, больных гемофилией, муковисцидозом, гипофизарным нанизмом, болезнью Гоше, злокачественными новообразованиями лимфоидной, кроветворной и родственных им тканей … в санатории не имеется.
- Перечень лекарственных препаратов для медицинского применения при амбулаторном лечении, которые отпускаются бесплатно и назначаемых врачебной комиссией не имеется.
ЛЕЧЕНИЕ В САНАТОРИИ ПРОВОДИТСЯ ПО ОСНОВНОМУ ЗАБОЛЕВАНИЮ В СТРОГОМ СООТВЕТСТВИЕ С ДИАГНОЗОМ УКАЗАННОМ В ФОРМЕ № 072/У-04. МИНЗДРАВСОЦРАЗВИТИЯ, СОГЛАСНО УТВЕРЖДЕННЫМ СТАНДАРТАМ

Отдохнуть 2-3 недели на курорте – это хорошо, а за половину или четверть от полной стоимости – еще лучше. И это доступно военнослужащим и военным пенсионерам с семьями, хоть иногда получить путевку не очень просто. Заявления на отдых на 2021 год уже принимаются – а во многих учреждениях заканчиваются свободные места. Тем временем в стране бушует эпидемия коронавируса, а будущее весьма туманно. Мы разобрались, что изменится в военных санаториях в 2021 году и как получить льготную путевку.
Когда подавать заявление и куда можно поехать
Военнослужащие находятся на полном обеспечении государством – то есть, государство отвечает за все, от проживания и питания (на время службы) до лечения, отдыха и пенсий военнослужащих. Некоторые льготы есть даже у тех, кто уже ушел со службы – военных пенсионеров (по линии медицины и санаторно-курортного лечения). Но там, где есть государство (и особенно – армия), не обходится без бюрократии. А в вопросах социального обеспечения этой бюрократии очень много – это касается и служебного жилья, и медицины, и санаторно-курортного лечения.
Особенность санаторно-курортного лечения по линии Минобороны России в том, что количество желающих обычно намного больше, чем количество путевок. А путевки еще и распределены в течение года – большинство льготников стремятся попасть на море с мая по сентябрь, но удача улыбается не всем. И чтобы все могли получать путевки на равных условиях, Минобороны каждый год открывает их бронирование в один день (причем ровно с 00:00).
В 2020 году подача заявлений на санаторно-курортный отдых открылась 30 октября в 00:00. Начиная с этого момента, все льготники могут подавать заявления в санаторно-курортные организации для получения путевок с 1 января по 31 декабря 2021 года.
На данный момент в некоторых организациях уже закончились места на самые востребованные даты, в других – пока доступны все месяцы:

Отслеживать наличие свободных путевок в санатории можно на сайте Минобороны.
В структуре Министерства есть санатории, дома отдыха, базы отдыха и детские санатории. Попасть в санаторий обычно можно, имея соответствующие показания по состоянию здоровья (что указывается в справке). Срок такого лечения – 21 день. А в дом отдыха или на базу отдыха можно получить путевку только на 12 дней – и это будет лишь оздоровительный отдых.
Перечень льготных категорий, которые имеют право на санаторно-курортное лечение по линии Минобороны, остается тем же:
- военнослужащие , которые проходят службу по контракту и члены их семей – они оплачивают 100% стоимости путевок;
- военные пенсионеры (уволенные со службы по определенным причинам с выслугой в 20 лет и больше, или по любой причине с выслугой в 25 лет и больше) – оплачивают 25% стоимости путевок;
- члены семей военных пенсионеров (супруги, несовершеннолетние дети и иждивенцы) – оплачивают 50% стоимости путевок;
- члены семей умерших военнослужащих , потерявшие кормильца – оплачивают 25% стоимости;
- Герои РФ, Соцтруда, СССР – получают путевки бесплатно;
- военнослужащие и военные пенсионеры , нуждающиеся в реабилитации по заключению врача – получают путевки бесплатно;
- гражданский персонал Вооруженных сил – оплачивают 30% стоимости путевок.
Стоит учитывать, что санатории и базы отдыха – это бюджетные учреждения, а потому даже платные путевки там стоят не очень дорого. Например, на базе отдыха в Севастополе за 12 дней с военнослужащего-контрактника возьмут от 19 до 23 тысяч рублей за одно койко-место, а детей можно разместить с большой скидкой. Какие коммерческие цены на отдых в этом регионе в летний период, и так понятно.
Большая часть санаторно-курортных учреждений Минобороны работает круглый год (с 1 января по 31 декабря), но некоторые могут быть закрыты на ремонт (например, Санаторий «Звенигородский» не будет работать 10 дней в мае), а другие работают по сезонному графику (например, «Анапский» работает с 10 мая по 10 ноября).
Как оформить уведомление и путевку в 2020-2021 годах
Формально вопросами касательно санаториев в Минобороны занимается Центр туризма и отдыха, но в действительности все решения принимает руководство санаториев. Соответственно, процедура оформления путевки состоит из двух частей:
- подача заявления в санаторно-курортное учреждение . В ответ должно прийти уведомление о предоставлении путевки (или отказ). Это все нужно сделать, начиная с 30 октября 2020 года, но не позднее, чем за 30 дней до начала даты путевки (60 дней для военных пенсионеров);
- оформление путевки, ее оплата и выдача . Получив уведомление, льготник в назначенный прибывает в учреждение, где ему и оформляют путевку.
Соответственно, главное в этом процессе – успеть подать заявление на путевку и получить уведомление о ее предоставлении. Здесь все достаточно просто: нужно подать заявление и приложить к нему медицинскую справку по форме 070/у – на самого льготника и каждого члена его семьи старше 18 лет.
В заявлении нет ничего сложного – кроме ФИО, контактных данных и данных о праве на льготу, нужно указать СНИЛС для каждого члена семьи, наименование санатория, и ориентировочные даты въезда. Чаще всего у санаториев на сайтах есть онлайн-формы, где все это можно заполнить прямо в соответствующих полях.
Что касается формы 070/у, там все чуть сложнее – если речь идет именно о санаторном лечении, то у льготника должны быть какие-то показания к нему. В справке по этой форме, кроме прочих данных, указываются:
- диагноз, для лечения по которому пациента направляют в санаторий;
- связано ли это с заболеваниями или последствиями травм мозга;
- если льготник – инвалид, то по какому заболеванию;
- какие есть сопутствующие заболевания;
- рекомендуемое лечение (в условиях санатория или амбулаторно), предпочтительное место и рекомендуемый сезон.
То есть, просто так выбрать один из санаториев и подать туда заявление на лечение нельзя – этот санаторий должен быть связан с профилем заболевания. Но, как показывает практика, на некоторые курорты и сезоны даже так выстраиваются очереди (как правило, на курортные города на черноморском побережье летом).
При желании, направить заявление с документами можно прямо через электронную почту Центра туризма и отдыха Минобороны, но это будет не так оперативно, как прямая отправка через сайт санатория. С момента принятия заявления его будут рассматривать в течение 10 календарных дней, а уведомление пришлют по почтовому адресу.
Если все получилось, и санаторно-курортное учреждение согласилось принять семью в назначенное время, до даты отъезда нужно собрать пакет документов:
- само уведомление;
- паспорт и военный билет;
- отпускной билет (для действующих военнослужащих);
- санаторно-курортная карта по форме 072/у;
- для членов семей – полис ОМС, подтверждающая родство справка;
- для детей – форма 072/у, медицинские справки от педиатра и ряд анализов (детям до 14 лет), справка с места учебы (для тех, кому от 18 до 23 лет и кто учится очно);
- для детей-инвалидов – справка МСЭ об установлении группы инвалидности;
- для военных пенсионеров – полис ОМС, пенсионное удостоверение, форма 072/у.
Все эти документы нужно иметь при себе, отправляясь в назначенную дату к месту отдыха или лечения. Оформление, оплата и выдача путевки – будет уже на месте прямо в день заселения.
Заселяться можно с 00:00 до 23:59 дня въезда, опаздывать категорически нельзя. Выселиться досрочно и получить компенсацию неиспользуемой части путевки можно будет только при наличии веских оснований на то (прописаны в нормативных документах).
Новинка 2020 года – коронавирус?
Как известно, во второй половине весны – начале лета в России был практически полный локдаун, особенно там, где бывают массовые скопления людей. Санатории, гостиницы, базы отдыха и вообще курорты стали именно такими местами – и были закрыты на всей территории России.
Пострадали, в том числе, военные санатории и базы отдыха – с 26 марта по 30 июня они были закрыты и не принимали отдыхающих. Те отдыхающие, кто уже отдыхал на дату закрытия, смогли использовать путевки до конца – но новых постояльцев между этими датами санатории уже не принимали. Соответственно, попадающие на них путевки попросту «сгорели».
Несмотря на то, что сейчас заболевших коронавирусом вдвое больше, чем было весной, санатории продолжают работать и принимать людей. Однако они ввели ряд правил – это касается санитарных мер внутри (например, постоянная санобработка поверхностей, дезинфекция, и другие меры предосторожности), но главное – это новые требования к отдыхающим.
Теперь все, кто приезжает на лечение или отдых, кроме обычного пакета документов должны иметь заключение врача об отсутствии контакта пациента с больными с подтвержденными инфекционными заболеваниями за предшествующие 14 дней (а сам документ должен быть выдан не позднее, чем за 3 дня до отъезда).
Разумеется, логики в этом практически нет – ни один терапевт, семейный врач или врач-педиатр не может знать, контактировал ли пришедший к нему на прием с кем-то, кто болен инфекционными заболеваниями. Врач должен руководствоваться результатами внешнего осмотра пациента и данными его опроса – не было ли у него в окружении кого-то, кто заболел новым заболеванием. Тем не менее, справки об эпидокружении продолжают требовать при заезде в санатории, и эти правила, судя по всему, будут действовать и в 2021 году.
Что касается рисков нового локдауна, на федеральном уровне власти говорят, что его пока не планируется. Власти регионов тоже пока не говорили о подобных намерениях – границы между субъектами открыты, поезда и самолеты перевозят пассажиров без проблем, пропускной режим не вернулся ни в одном из регионов. Но что будет в 2021-м – точно не знает никто, как и о том, оправдаются ли надежды всего мира на разрабатываемые вакцины от коронавируса.
Возможные проблемы
Основная проблема касается случаев, когда администрация санаторно-курортного учреждения отказывается предоставить путевку заявителю. Причин может быть несколько, и они вполне законные:
- профиль санатория не соответствует профилю заболевания в справке по форме 070/у;
- местность, где расположен санаторий, противопоказана пациенту согласно справке;
- закончились свободные места на запрошенный период.
В этих случаях оспаривать отказ просто бессмысленно – администрация действует строго в соответствии с законом: распределяет места среди тех, кто соответствует всем требованиям и подал документы на путевку первым. Поэтому так важно подавать заявления буквально в первые часы после наступления соответствующей даты.
Правда, на форумах и в отзывах многие пишут, что отправляют документы буквально в 00:01 первого же дня подачи заявлений – и получают отказ, так как все места заняты. Одна из версий – санаторий продает эти места по полной коммерческой цене (тогда как льготники оплачивают только часть стоимости путевок).
Еще одна возможная проблема – отказ в льготном санаторно-курортном лечении тем, кто имеет право на ежемесячную денежную выплату (например, инвалиды I-III групп, ветераны боевых действий или «чернобыльцы»). К ЕДВ прилагается набор социальных услуг, в который входит бесплатное санаторно-курортное лечение и бесплатный проезд к нему. Если льготник отказывается от набора в пользу доплаты, за путевки ему придется платить все 100% от стоимости.
В 2020-2021 годах возможный повод для отказа в заселении в военный санаторий – отсутствие справки об эпидемиологическом окружении. Такой отказ, несмотря на всю нелогичность этого документа, вполне обоснованный с точки зрения закона.
Но есть еще и другая проблема – летом ряд санаториев требовали от въезжающих отрицательный результат ПЦР-теста на коронавирус. При этом Роспотребнадзор официально отменил это требование, а сдать тест добровольно стоит достаточно дорого (от 2 тысяч рублей). Судя по всему, санатории не могут требовать отрицательный тест – но лучше уточнить этот момент заранее, чтобы избежать проблем при заселении.
Читайте также:

